Gate EE-2004 Question Paper With Solutions

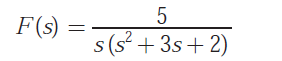
Q. 22 Consider the function

Gate EE-2004 Question Paper With Solutions

where F(s) is the Laplace transform of the of the function
f(t). The initial value of f(t) is equal to

Gate EE-2004 Question Paper With Solutions

Answer:(D)

Explanation:

Gate EE-2004 Question Paper With SolutionsGate EE-2004 Question Paper With Solutions

Learn More:   Gate EC-2011 Question Paper With Solutions

LEAVE A REPLY

Please enter your comment!
Please enter your name here