Gate EE-2004 Question Paper With Solutions

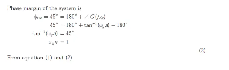
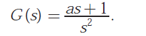
Q. 77 The open loop transfer function of a unity feedback control system is given as

Gate EE-2004 Question Paper With SolutionsThe value of ‘a’ to give a phase margin of Gate EE-2004 Question Paper With Solutionsis equal to

 

(A) 0.141

(B) 0.441

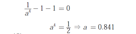
(C) 0.841

(D) 1.141

Answer:(C)

Explanation:

Gate EE-2004 Question Paper With SolutionsGate EE-2004 Question Paper With SolutionsGate EE-2004 Question Paper With Solutions

Learn More:   Gate ME-2010 Question Paper With Solutions

LEAVE A REPLY

Please enter your comment!
Please enter your name here