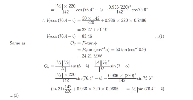
Q. 54 The generalized circuit constants of a 3-phase, 220 kV rated voltage, medium length transmission line are
If the load at the receiving end is 50 MW at 220 kV with a power factor of 0.9
lagging, then magnitude of line to line sending end voltage should be
(A) 133.23 kV
(B) 220.00 kV
(C) 230. 78 kV
(D) 246.30 kV
Answer:(C)
Explanation:















