Gate EE-2004 Question Paper With Solutions

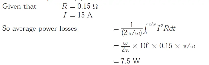
Q. 85 A MOSFET rated for 15 A, carries a periodic current as shown in figure. TheON state resistance of the MOSFET is 0.15Gate EE-2004 Question Paper With Solutions The average ON state loss in the MOSFET is

Gate EE-2004 Question Paper With Solutions
(A) 33.8 W

(B) 15.0 W
 (C) 7.5 W

(D) 3.8 W

Answer:(C)

Explanation:

Gate EE-2004 Question Paper With Solutions

Learn More:   Gate CS-2014-1 Question Paper With Solutions

LEAVE A REPLY

Please enter your comment!
Please enter your name here