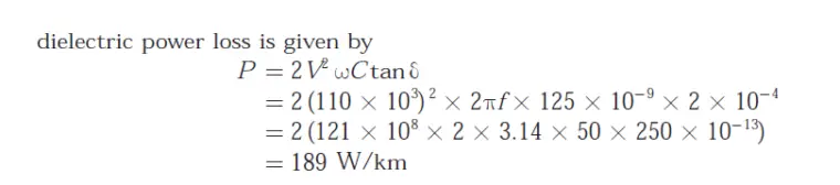
Q. 52 A 110 kV, single core coaxial, XLPE insulated power cable delivering power at 50 Hz, has a capacitance of 125 nF/km. If the dielectric loss tangent of XLPE is, then dielectric power loss in this cable in W/km is
(A) 5.0
(B) 31.7
(C) 37.8
(D) 189.0
Answer:(D)
Explanation:













