Q. 55 A new generator having [equivalent to
andsynchronous reactance”XSof 1.0 pu on the system base, is to be connectedto a bus having voltage
in the existing power system. This existing power system can be represented by Thevenin’s voltage
in series withThevenin’s impedance
. The magnitude of the bus voltageVtof the system in pu will be
(A) 0.990
(B) 0.973
(C) 0.963
(D) 0.900
Answer:(B)
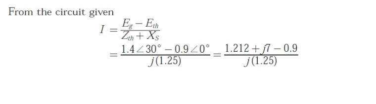
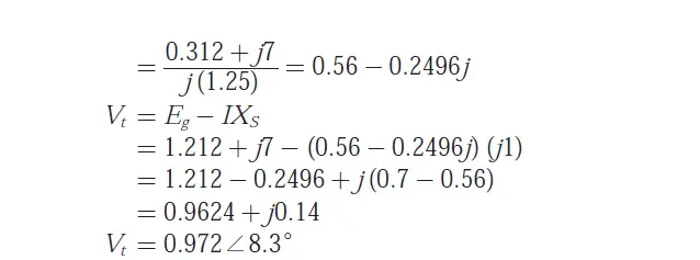
Explanation:















