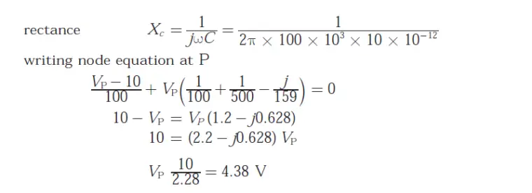
Q. 78 A CRO probe has an impedance of in parallel with a capacitance of 10pF. The probe is used to measure the voltage between P and Q as shown in figure. The measured voltage will be
(A) 3.53 V
(B) 4.37 V
(C) 4.54 V
(D) 5.00 V
Answer:(B)
Explanation:














