Gate EC-2017-2 Question Paper With Solutions

Q. 8Gate EC-2017-2 Question Paper With Solutions  Answer: (B)

Explanation:

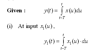
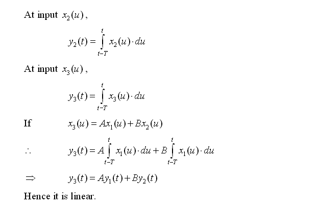
Gate EC-2017-2 Question Paper With Solutions Gate EC-2017-2 Question Paper With SolutionsGate EC-2017-2 Question Paper With Solutions

 

 

 

Learn More:   Gate CS-2014-2 Question Paper With Solutions

LEAVE A REPLY

Please enter your comment!
Please enter your name here