Gate EC-2017-2 Question Paper With Solutions

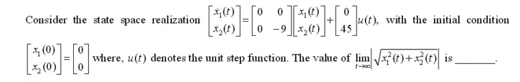
Q. 25Gate EC-2017-2 Question Paper With Solutions Answer: (5)

Explanation:

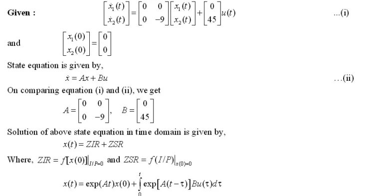
Gate EC-2017-2 Question Paper With Solutions

Gate EC-2017-2 Question Paper With Solutions

Gate EC-2017-2 Question Paper With Solutions

Gate EC-2017-2 Question Paper With Solutions

Learn More:   Gate EE-2013 Question Paper With Solutions

LEAVE A REPLY

Please enter your comment!
Please enter your name here