Gate EC-2017-2 Question Paper With Solutions

Q. 41Gate EC-2017-2 Question Paper With Solutions Answer: (8Watt)

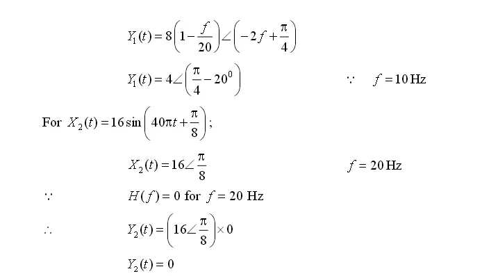
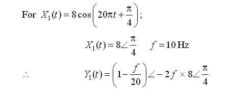
Explanation:

Gate EC-2017-2 Question Paper With Solutions

Gate EC-2017-2 Question Paper With Solutions

Gate EC-2017-2 Question Paper With Solutions

Gate EC-2017-2 Question Paper With Solutions

Learn More:   Gate ME-2016-2 Question Paper With Solutions

LEAVE A REPLY

Please enter your comment!
Please enter your name here