Gate EC-2017-2 Question Paper With Solutions

Q. 14

Gate EC-2017-2 Question Paper With Solutions

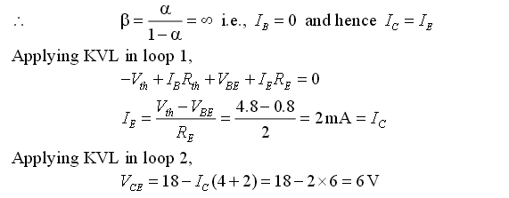
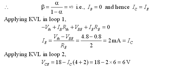
Gate EC-2017-2 Question Paper With Solutions Answer: (6V)

Explanation:

Gate EC-2017-2 Question Paper With SolutionsGate EC-2017-2 Question Paper With Solutions

Gate EC-2017-2 Question Paper With Solutions

Learn More:   Gate ME-2016-1 Question Paper With Solutions

LEAVE A REPLY

Please enter your comment!
Please enter your name here