Gate EC-2017-2 Question Paper With Solutions

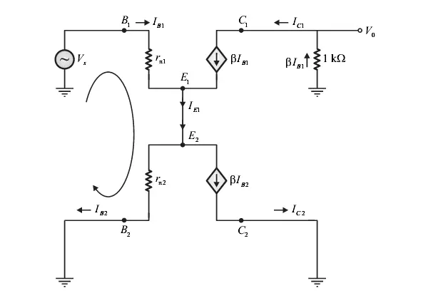
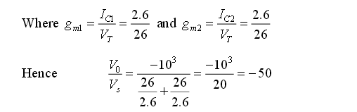
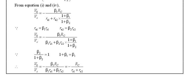
Q. 34Gate EC-2017-2 Question Paper With Solutions Answer: (50)

Explanation:

Gate EC-2017-2 Question Paper With Solutions

Gate EC-2017-2 Question Paper With Solutions

 

Gate EC-2017-2 Question Paper With Solutions

Gate EC-2017-2 Question Paper With Solutions

Gate EC-2017-2 Question Paper With Solutions

Gate EC-2017-2 Question Paper With Solutions

Gate EC-2017-2 Question Paper With Solutions

Gate EC-2017-2 Question Paper With Solutions

Gate EC-2017-2 Question Paper With Solutions

Learn More:   Gate EE-2004 Question Paper With Solutions

LEAVE A REPLY

Please enter your comment!
Please enter your name here