Gate EC-2017-2 Question Paper With Solutions

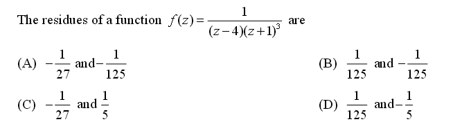
Q. 16Gate EC-2017-2 Question Paper With Solutions  Answer: (B)

Explanation:

Gate EC-2017-2 Question Paper With Solutions

Gate EC-2017-2 Question Paper With Solutions

Learn More:   Gate ME 2014-1 Question Paper With Solutions

LEAVE A REPLY

Please enter your comment!
Please enter your name here