Gate EC-2017-2 Question Paper With Solutions

Q. 17Gate EC-2017-2 Question Paper With SolutionsAnswer: (A)

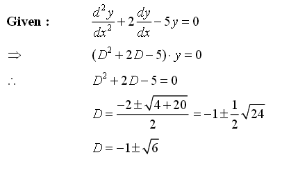
Explanation:

 

Gate EC-2017-2 Question Paper With Solutions

Gate EC-2017-2 Question Paper With Solutions

Learn More:   Gate CS-2014-1 Question Paper With Solutions

LEAVE A REPLY

Please enter your comment!
Please enter your name here