Gate EC-2017-2 Question Paper With Solutions

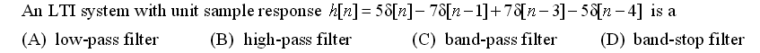
Q. 23Gate EC-2017-2 Question Paper With Solutions Answer: (C)

Explanation:

Gate EC-2017-2 Question Paper With Solutions

Learn More:   Gate CS-2018 Question Paper With Solutions

LEAVE A REPLY

Please enter your comment!
Please enter your name here