Gate EC-2017-2 Question Paper With Solutions

Q. 35Gate EC-2017-2 Question Paper With Solutions  Answer: (D)

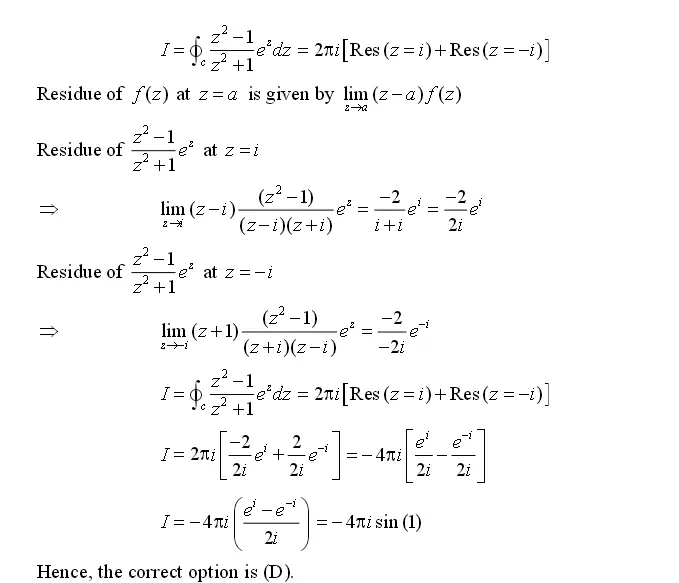
Explanation:

Gate EC-2017-2 Question Paper With Solutions

Gate EC-2017-2 Question Paper With Solutions

Learn More:   Gate CS-2011 Question Paper With Solutions

LEAVE A REPLY

Please enter your comment!
Please enter your name here