Gate EC-2017-2 Question Paper With Solutions

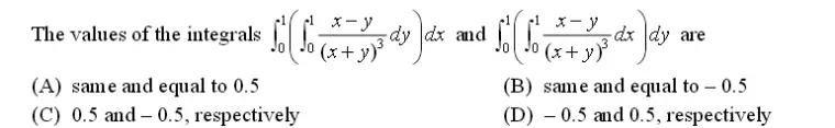
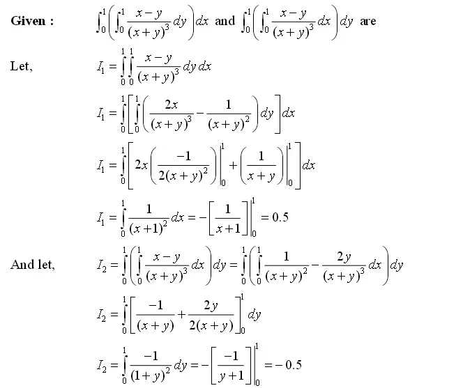
Q. 37Gate EC-2017-2 Question Paper With Solutions Answer: (C)

Explanation:

Gate EC-2017-2 Question Paper With Solutions

Learn More:   Gate EE-2016-1 Question Paper With Solutions

LEAVE A REPLY

Please enter your comment!
Please enter your name here