Gate EC-2017-2 Question Paper With Solutions

Q. 18Gate EC-2017-2 Question Paper With Solutions Answer: (1)

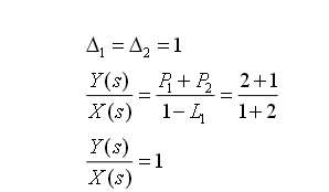
Explanation:

Gate EC-2017-2 Question Paper With Solutions

Gate EC-2017-2 Question Paper With Solutions

Gate EC-2017-2 Question Paper With Solutions

Learn More:   Gate EC-2019 Question Paper With Solutions

LEAVE A REPLY

Please enter your comment!
Please enter your name here