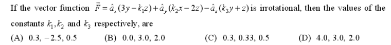
Gate EC-2017-2 Question Paper With Solutions

Q. 49Gate EC-2017-2 Question Paper With Solutions Answer: (B)

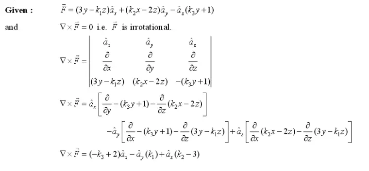
Explanation:

Gate EC-2017-2 Question Paper With Solutions

Gate EC-2017-2 Question Paper With Solutions

Learn More:   Gate ME 2015-3 Question Paper With Solutions

LEAVE A REPLY

Please enter your comment!
Please enter your name here