Gate EC-2017-2 Question Paper With Solutions

Q. 42Gate EC-2017-2 Question Paper With Solutions Gate EC-2017-2 Question Paper With Solutions Answer: (D)

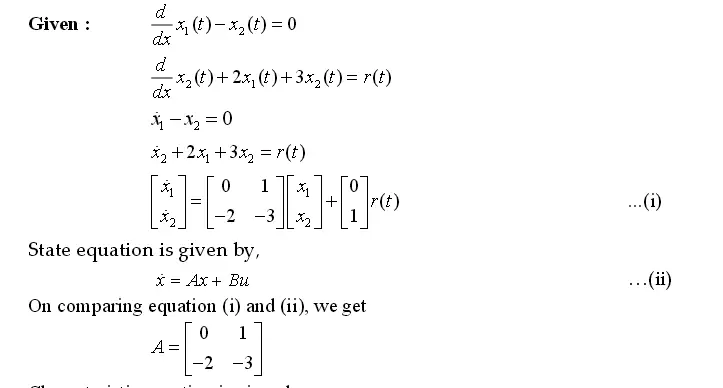
Explanation:

Gate EC-2017-2 Question Paper With Solutions

Gate EC-2017-2 Question Paper With Solutions

Learn More:   Gate EE-2011 Question Paper With Solutions

LEAVE A REPLY

Please enter your comment!
Please enter your name here