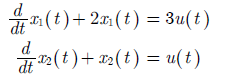
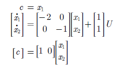
Q.57 A second-order linear time-invariant system is described by the following state equations
where are the two state variables and u(t) denotes the input. If the output
then the system is
(A) controlled but not observable
(B) observable but not controllable
(C) both controllable and observable
(D) neither controllable nor observable
Answer: (A)
Explanation:
By applying Gilbert’s test, the system is controlled but not observable.













