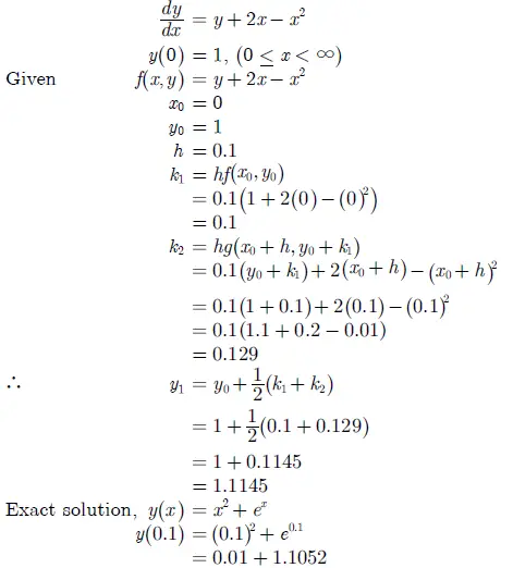
Q.15 Consider the first order initial value problem
with exact solution . For x = 0.1 the percentage difference between the exact solution and the solution obtained using a single iteration of the second-order Runge-Kutta method with step-size h = 0.1 is ______
Answer:( 0.6)
Explanation:













