Gate EC-2016 – 3 Question Paper With Solutions

Q.46 The direct form structure of an FIR (finite impulse response) filter is shown in the figure.

Gate EC-2016 - 3 Question Paper With Solutions
The filter can be used to approximate a

(A) low-pass filter

(B) high-pass filter

(C) band-pass filter

(D) band-stop filter

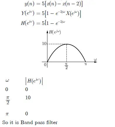
Answer: (C)

Explanation:
Gate EC-2016 - 3 Question Paper With Solutions

Learn More:   Gate EE-2006 Question Paper With Solutions

LEAVE A REPLY

Please enter your comment!
Please enter your name here