Gate EC-2016 – 3 Question Paper With Solutions

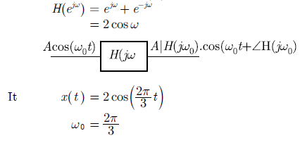
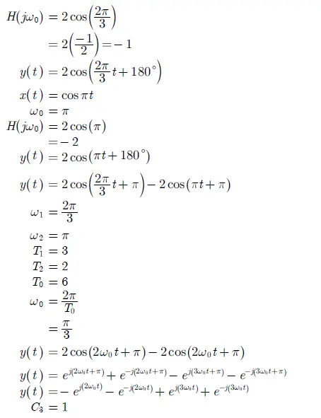
Q.40 A signalGate EC-2016 - 3 Question Paper With Solutions is the input to an LTI system with the transfer functionGate EC-2016 - 3 Question Paper With Solutions. If Ck denotes the Gate EC-2016 - 3 Question Paper With Solutions coefficient in the exponential Fourier series of the output signal, then Gate EC-2016 - 3 Question Paper With Solutionsis equal to

(A) 0

(B) 1

(C) 2

(D) 3

Answer: 9B)

Explanation:
Gate EC-2016 - 3 Question Paper With Solutions
Gate EC-2016 - 3 Question Paper With Solutions

Learn More:   Gate CS-2016-2 Question Paper With Solutions

LEAVE A REPLY

Please enter your comment!
Please enter your name here