Gate EC-2016 – 3 Question Paper With Solutions

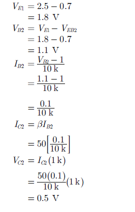
Q.24 Consider the circuit shown in the figure. Assuming Gate EC-2016 - 3 Question Paper With Solutions, value of the dc voltageGate EC-2016 - 3 Question Paper With Solutions (in volt) is ______

Gate EC-2016 - 3 Question Paper With Solutions

Answer: (0.5 V)

Explanation:
Gate EC-2016 - 3 Question Paper With Solutions

Learn More:   Gate EE-2006 Question Paper With Solutions

LEAVE A REPLY

Please enter your comment!
Please enter your name here