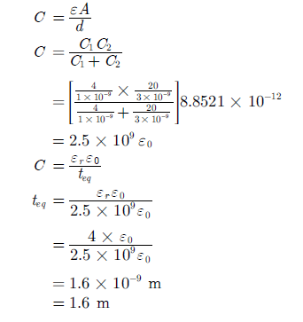
Q.48 Figures I and II show two MOS capacitors of unit area. The capacitor in Figure I has insulator materials X (of thickness nm and dielectric constant
) and Y (of thickness
nm and dielectric constant
. The capacitor in Figure II has only insulator material X of thickness
.. If the capacitors are of equal capacitors, then the value of
(in nm) is ______
Answer: (1.55 to 1.65)
Explanation:













