Gate EC-2016 – 3 Question Paper With Solutions

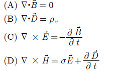
Q.35 Faraday’s law of electromagnetic induction is mathematically described by which one of the following equations?
Gate EC-2016 - 3 Question Paper With Solutions

Answer: (C)

Explanation:

Gate EC-2016 - 3 Question Paper With Solutions

Learn More:   Gate ME-2009 Question Paper With Solutions

LEAVE A REPLY

Please enter your comment!
Please enter your name here