Gate EC-2016 – 3 Question Paper With Solutions

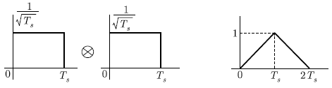
Q.33 A binary baseband digital communication system employs the signal p^t h otherwiseGate EC-2016 - 3 Question Paper With SolutionsFor transmission of bits. The graphical representation of the matched filter output y(t) for this signal will be

Gate EC-2016 - 3 Question Paper With Solutions

Answer: (C)

Explanation:

Gate EC-2016 - 3 Question Paper With Solutions

Learn More:   Gate CS-2016-2 Question Paper With Solutions

LEAVE A REPLY

Please enter your comment!
Please enter your name here