Gate EC-2016 – 3 Question Paper With Solutions

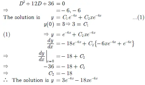
Q.36 The particular solution of the initial value problem given below is
Gate EC-2016 - 3 Question Paper With Solutions
Gate EC-2016 - 3 Question Paper With Solutions

Answer: (A)

Explanation:
Gate EC-2016 - 3 Question Paper With Solutions

Learn More:   Gate EE-2014-1 Question Paper With Solutions

LEAVE A REPLY

Please enter your comment!
Please enter your name here