Q.50 For the circuit shown in the figure,
. If the input
, then the overall voltage gain
of the circuit is ______
Answer: (-1)
Explanation:

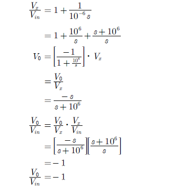
Q.50 For the circuit shown in the figure,
. If the input
, then the overall voltage gain
of the circuit is ______
Answer: (-1)
Explanation:
