Gate EC-2016 – 3 Question Paper With Solutions

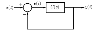
Q.30 For the unity feedback control system shown in the figure, the open-loop transfer function G(s) is given asGate EC-2016 - 3 Question Paper With Solutions. The steady state error Gate EC-2016 - 3 Question Paper With Solutions due to a unit step input is

Gate EC-2016 - 3 Question Paper With Solutions

(A) 0

(B) 0.5

(C) 1.0

(D) Gate EC-2016 - 3 Question Paper With Solutions

Answer: (A)

Explanation:
Gate EC-2016 - 3 Question Paper With Solutions

Learn More:   Gate EE-2016-1 Question Paper With Solutions

LEAVE A REPLY

Please enter your comment!
Please enter your name here