Gate ME 2014-2 Question Paper With Solutions

Q. 36  Gate ME 2014-2 Question Paper With Solutions

Answer: (C)

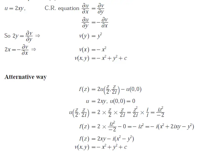
Explanation:

Gate ME 2014-2 Question Paper With Solutions

Learn More:   Gate EE-2017-2 Question Paper With Solutions

LEAVE A REPLY

Please enter your comment!
Please enter your name here