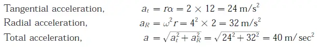
Q. 49 A rigid link PQ of length 2 m rotates about the pinned end Q with a constant
angular acceleration of . When the angular velocity of the link is 4 rad/s,
the magnitude of the resultant acceleration of the end P is _____
Answer: (40)
Explanation:













