Gate ME 2014-2 Question Paper With Solutions

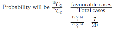
Q. 14 A box contains 25 parts of which 10 are defective. Two parts are being drawn
simultaneously in a random manner from the box. The probability of both the
parts being good is
Gate ME 2014-2 Question Paper With Solutions

Answer: (A)

Explanation:

Gate ME 2014-2 Question Paper With Solutions

Learn More:   Gate EC-2018 Question Paper With Solutions

LEAVE A REPLY

Please enter your comment!
Please enter your name here