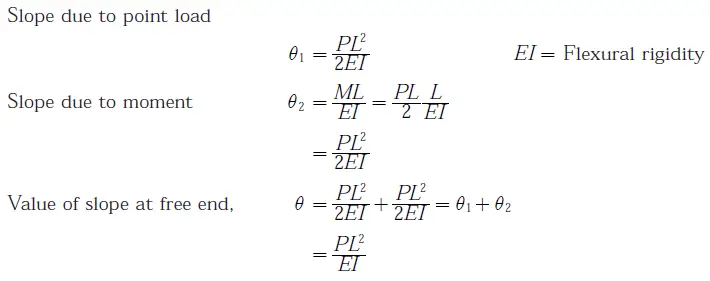
Q. 40 The flexural rigidity of a cantilever beam is assumed to be constant over the
length of the beam shown in figure. If a load P and bending moment PL/2 are
applied at the free end of the beam then the value of the slope at the free end is
Answer: (B)
Explanation:














