Gate ME 2014-2 Question Paper With Solutions

Q. 13 Gate ME 2014-2 Question Paper With Solutions

Gate ME 2014-2 Question Paper With Solutions

Answer: (A)

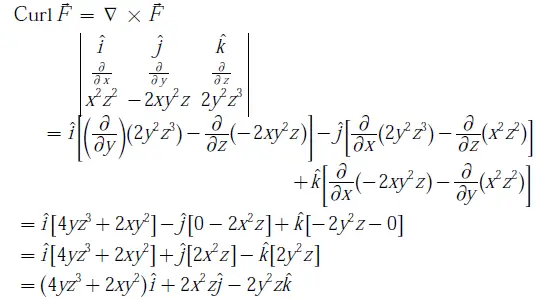
Explanation:

Gate ME 2014-2 Question Paper With Solutions

Learn More:   Gate EC-2008 Question Paper With Solutions

LEAVE A REPLY

Please enter your comment!
Please enter your name here