Gate ME 2014-2 Question Paper With Solutions

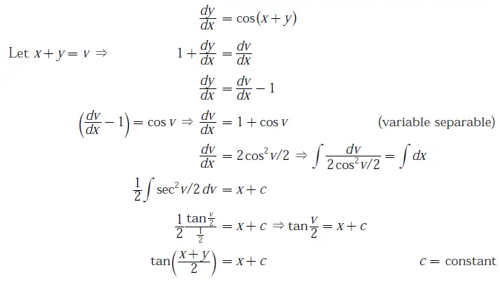
Q. 37 The general solution of the differential equation Gate ME 2014-2 Question Paper With Solutions with c as a
constant, is
Gate ME 2014-2 Question Paper With Solutions

Answer: (D)

Explanation:

Gate ME 2014-2 Question Paper With Solutions

Learn More:   Gate EE-2019 Question Paper With Solutions

LEAVE A REPLY

Please enter your comment!
Please enter your name here