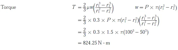
Q. 45 A disc clutch with a single friction surface has coefficient of friction equal to 0.3.
The maximum pressure which can be imposed on the friction material is 1.5 MPa.
The outer diameter of the clutch plate is 200 mm and its internal diameter is 100
mm. Assuming uniform wear theory for the clutch plate, the maximum torque (in
N-m) that can be transmitted is _____
Answer: (824.25)
Explanation:












