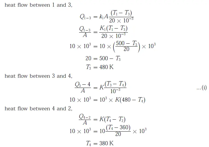
Q. 54 A material P of thickness 1 mm is sandwiched between two steel slabs, as shown
in the figure below. A heat flux is supplied to one of the steel slabs as
shown. The boundary temperatures of the slabs are indicated in the figure. Assume
thermal conductivity of this steel is 10 W/m.K. Considering one-dimensional
steady state heat conduction for the configuration, the thermal conductivity (k,
in W/m.K) of material P is ______
Answer: (0.1 W/m.K.)
Explanation:















