Gate ME 2014-2 Question Paper With Solutions

Q. 11 One of the eigenvectors of the matrix Gate ME 2014-2 Question Paper With Solutions is
Gate ME 2014-2 Question Paper With Solutions

Answer: (D)

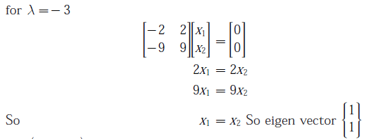
Explanation:

Gate ME 2014-2 Question Paper With Solutions

Gate ME 2014-2 Question Paper With Solutions

Learn More:   Gate EC-2009 Question Paper With Solutions

LEAVE A REPLY

Please enter your comment!
Please enter your name here