Gate ME 2014-2 Question Paper With Solutions

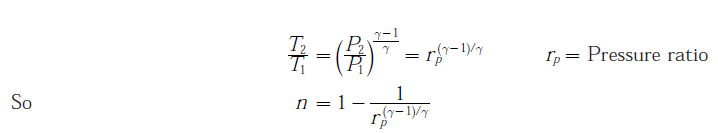
Q. 23 The thermal efficiency of an air-standard Brayton cycle in terms of pressure ratio
Gate ME 2014-2 Question Paper With Solutionsis given by
Gate ME 2014-2 Question Paper With Solutions
Answer: (D)

Explanation:

Gate ME 2014-2 Question Paper With Solutions

Gate ME 2014-2 Question Paper With Solutions

Learn More:   Gate CS-2017-2 Question Paper With Solutions

LEAVE A REPLY

Please enter your comment!
Please enter your name here