Gate ME 2014-2 Question Paper With Solutions

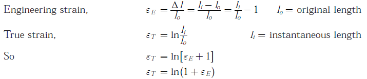
Q. 34 The relationship between true strain Gate ME 2014-2 Question Paper With Solutions and engineering strain Gate ME 2014-2 Question Paper With Solutions in a uniaxial tension test is given as
Gate ME 2014-2 Question Paper With Solutions

Answer: (C)

Explanation:

Gate ME 2014-2 Question Paper With Solutions

Learn More:   Gate EC-2015 - 3 Question Paper With Solutions

LEAVE A REPLY

Please enter your comment!
Please enter your name here