Gate ME 2014-2 Question Paper With Solutions

Q. 12 Gate ME 2014-2 Question Paper With Solutions

(A) 0

(B) 0.5

(C) 1

(D) 2

Answer: (B)

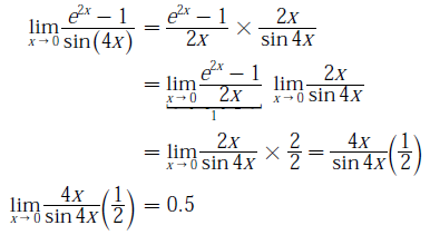
Explanation:

Gate ME 2014-2 Question Paper With Solutions

Learn More:   Gate EE-2016-1 Question Paper With Solutions

LEAVE A REPLY

Please enter your comment!
Please enter your name here