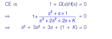
Q.19 For the given open loop transfer function with unity negative feed back gain, The value of gain K. For which closed loop system is marginally stable will be _________
.
Answer: (8)
Explanation:

Q.19 For the given open loop transfer function with unity negative feed back gain, The value of gain K. For which closed loop system is marginally stable will be _________
.
Answer: (8)
Explanation:
