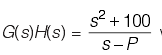
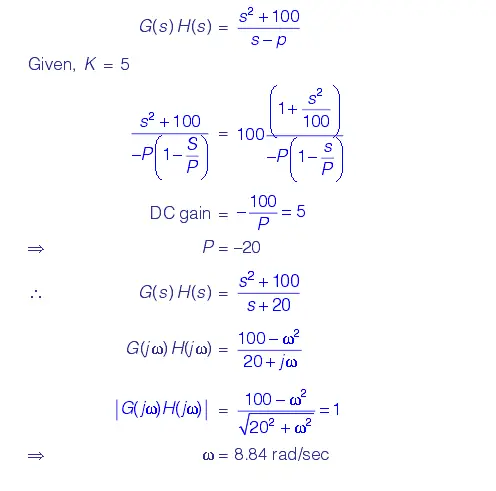
Q.20 A stable LTI system with single pole P, has a transfer function 
(A) 11.08
(B) 70.13
(C) 122.07
(D) 8.84
Answer:(D)
Explanation:
Q.20 A stable LTI system with single pole P, has a transfer function 
(A) 11.08
(B) 70.13
(C) 122.07
(D) 8.84
Answer:(D)
Explanation: