Gate EE-2020 Question Paper With Solutions

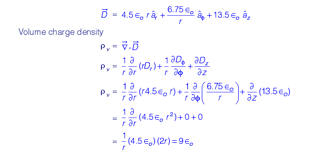
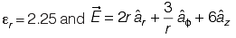
Q.26 In a dielectric medium Gate EE-2020 Question Paper With Solutionsin cylindrical, then find volume charge density

Gate EE-2020 Question Paper With SolutionsAnswer:(D)

Explanation:
Gate EE-2020 Question Paper With Solutions Gate EE-2020 Question Paper With Solutions


Learn More:   Gate EC-2016 - 2 Question Paper With Solutions

LEAVE A REPLY

Please enter your comment!
Please enter your name here