Gate EE-2020 Question Paper With Solutions

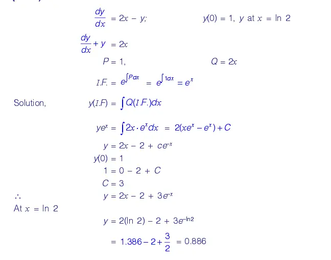
Q.55 Let  Gate EE-2020 Question Paper With Solutions. Find y atGate EE-2020 Question Paper With Solutions

Answer: (0.886)

Explanation:

Gate EE-2020 Question Paper With Solutions


Learn More:   Gate ME-2010 Question Paper With Solutions

LEAVE A REPLY

Please enter your comment!
Please enter your name here