Gate EE-2020 Question Paper With Solutions

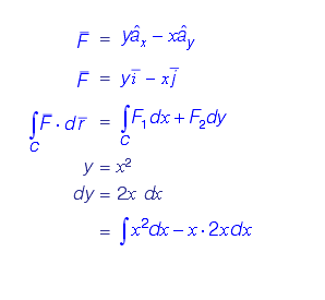
Q.54 A vector function is given byGate EE-2020 Question Paper With Solutions. The line integral of the above function

Gate EE-2020 Question Paper With Solutionsalong the curve C given by Gate EE-2020 Question Paper With Solutions as shown below ________.

Gate EE-2020 Question Paper With Solutions

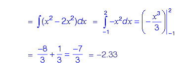
Answer:(–2.33)

Explanation:

Gate EE-2020 Question Paper With Solutions Gate EE-2020 Question Paper With Solutions


Learn More:   Gate EC-2017-1 Question Paper With Solutions

LEAVE A REPLY

Please enter your comment!
Please enter your name here