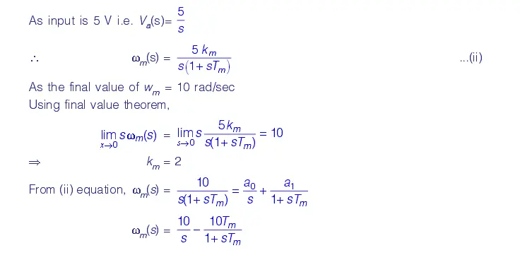
Q.17 A PMDC motor is connected to 5 V at t = 0. Its speed increases from 0 to 6.32 rad/
sec monotonically from t = 0 to t = 0.5s and finally settles down to 10 rad/sec. Assume
negligible armature inductance. Find the transfer function?

Explanation:














