Gate EE-2020 Question Paper With Solutions

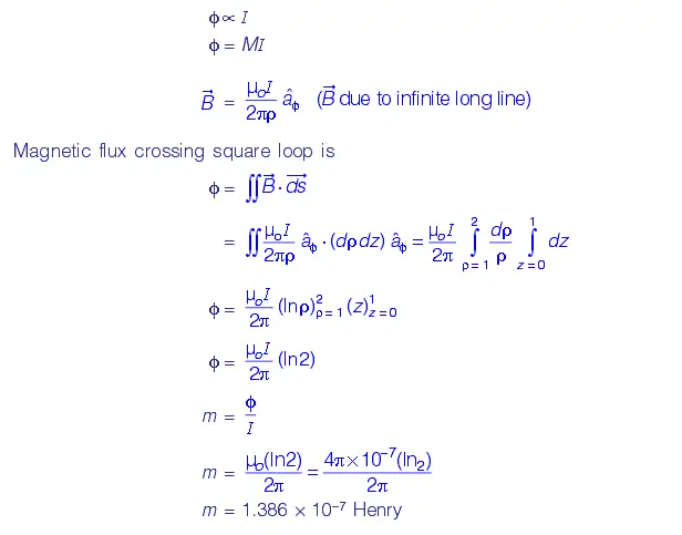
Q.25 The value of mutual inductance figure shows long wire carrying current 2 A placed in away from square coil as shown in figure. The value mutual inductance will be ____.

Gate EE-2020 Question Paper With Solutions

Answer:(138.6)

Explanation:

Gate EE-2020 Question Paper With Solutions


Learn More:   Gate ME-2004 Question Paper With Solutions

LEAVE A REPLY

Please enter your comment!
Please enter your name here